Ionic polymer membrane comprising radiation-crosslinkable poly(vinyl alcohol) and method of preparation thereof

Number of patents in Portfolio can not be more than 2000

United States of America Patent

PATENT NO 9922773
APP PUB NO 20170098511A1
SERIAL NO

15179793

Stats

ATTORNEY / AGENT: (SPONSORED)

Importance

Loading Importance Indicators... loading....

Abstract

See full text

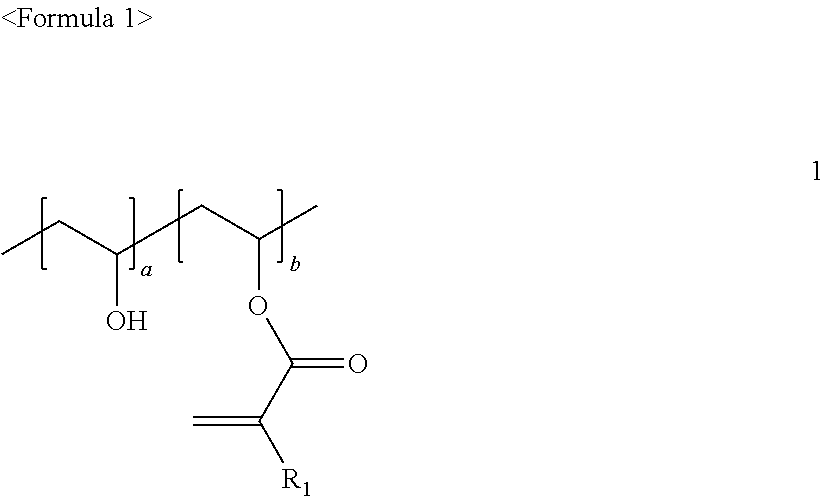
The present invention provides an ionic polymer membrane prepared by irradiating the compound represented by formula 1 and an ionic polymer. The ionic polymer membrane of the present invention has the advantage of excellent processability, low production costs, high ion exchange capacity and high durability. Also, the method for preparing the ionic polymer membrane of the invention not only facilitates the production of the ionic polymer membrane in a 3-dimensional network structure which has high ion exchange capacity and high dimensional stability but also makes it easy to produce membranes in various forms and sizes by using the composition itself as a coating solution with using the commercialized inexpensive ionic polymer without additional high-risk multi-step introduction process of ionic exchange group. In the aspect of preparation process, the simplicity of the process and suitable for the mass-production, and the production cost is reduced by saving the processing time as much as minimum 1/15 (56 min.) in comparison to the processing time of the conventional thermal-crosslinking (1 hour).

Loading the Abstract Image... loading....

First Claim

See full text

Family

Loading Family data... loading....

Patent Owner(s)

Patent OwnerAddress
KOREA ATOMIC ENERGY RESEARCH INSTITUTEDAEJEON 305-353

International Classification(s)

Inventor(s)

Inventor Name Address # of filed Patents Total Citations
Hwang, In Tae Jeollabuk-do, KR 37 558
Jung, Chan Hee Gwangju, KR 28 156
Jung, Chang-Hee Gwangju, KR 1 1
Shin, Junhwa Gwangju, KR 2 3
Sohn, Joon Yong Jeollabuk-do, KR 5 94

Cited Art Landscape

Load Citation

Patent Citation Ranking

Forward Cite Landscape

Load Citation

Maintenance Fees

Fee Large entity fee small entity fee micro entity fee due date
7.5 Year Payment $3600.00 $1800.00 $900.00 Sep 20, 2025
11.5 Year Payment $7400.00 $3700.00 $1850.00 Sep 20, 2029
Fee Large entity fee small entity fee micro entity fee
Surcharge - 7.5 year - Late payment within 6 months $160.00 $80.00 $40.00
Surcharge - 11.5 year - Late payment within 6 months $160.00 $80.00 $40.00
Surcharge after expiration - Late payment is unavoidable $700.00 $350.00 $175.00
Surcharge after expiration - Late payment is unintentional $1,640.00 $820.00 $410.00